
La quantification du carbone est un volet qui permet de connaître à la fois la quantité de carbone présente dans le sol, mais également sous quelles formes ce carbone s’y trouve (provenance, nouveau/vieux carbone). Les flux de dioxyde de carbone (CO2) et de méthane (CH4) sont également mesurés afin d’évaluer l’effet du reboisement et de bonifier la compréhension de la dynamique du carbone dans les sols. Éventuellement, les effets du reboisement seront évalués en mesurant le pH et la disponibilité des nutriments présents dans le sol.
Échantillonnage
Méthodologie utilisée :
- Prélèvements d’échantillons de sol:
- Deux strates de sols
- 0-15 cm
- 15-30 cm
- Deux strates de sols
- Mesures de la respiration des sols (flux gazeux):
- Installation de collets pour mesurer les flux
- 13 points d’échantillonnage
- Installation de collets pour mesurer les flux
- Répartition de l’échantillonnage en fonction du type de milieux
- Friches
- À reboiser
- À conserver
- Forêt
- Milieux envahis par le roseau commun
- Terres agricoles
- Maïs-soja
- Cultures fourragères
- Friches
Récurrence des suivis :
- Pour les échantillons de sol:
- Échantillonnage 1x par année de suivi
- Années de suivi: 2020, 2025, 2033
- Pour la respiration des sols:
- Échantillonnage 1x par mois de mai à septembre (5 mois) pour chaque année de suivi
- Années de suivi: 2021, 2023, 2025, 2027, 2030, 2033

Analyses
Les échantillons de sol récoltés sont préparés puis analysés en laboratoire par des spécialistes. Deux types d’analyses sont effectuées. La première, pour connaitre les quantités de carbone présentes dans les sols, et la deuxième, pour connaitre les différentes formes de carbone (provenance, nouveau/vieux carbone) qui sont présentes. Pour la respiration des sols, l’équipe possède des instruments de mesures à la fine pointe de la technologie, ce qui permet une prise de mesure des flux de CO2 directement sur le terrain, sans devoir procéder à des analyses en laboratoire.
Résultats
Échantillons :
Les résultats actuels sont préliminaires et plusieurs analyses sont toujours en cours. Ce qui a été fait jusqu’à présent permettra d’établir le portrait du carbone dans les sols avant nos interventions.
Comme les milieux en friches diffèrent beaucoup les uns des autres (quantité d’arbres et d’arbustes, herbes hautes, présence d’espèces végétales exotiques envahissantes, etc.) un échantillonnage de sols plus complet a été réalisé. Une distinction a été faite entre le type de cultures agricoles : maïs (MR8) ou foin.


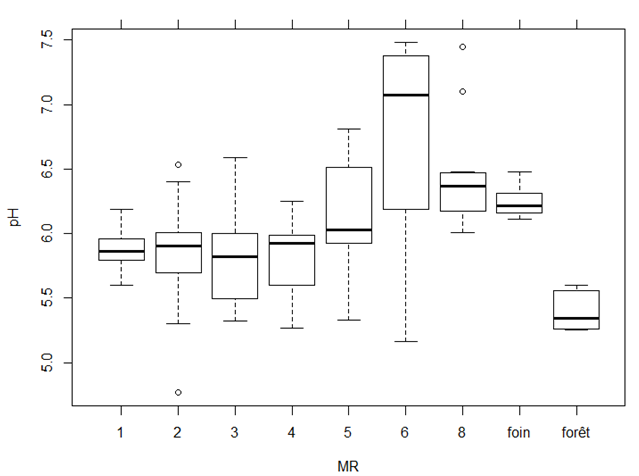
pH :
Les résultats des mesures du pH des différents milieux du site révèlent une faible variation entre ceux-ci (voir figure ci-dessous). Une tendance autour d’un pH entre 6 et 6,5 s’observe parmi les milieux échantillonnés, à l’exception du site (MR6) dont le pH est de 7. Également, le sol forestier est caractérisé par une plus forte acidité que les autres sols.

Légende : MR = Milieux récepteurs





